headphones
OpenAI发布EVMbench:AI在Defi上偷钱,黑客都得失业
C Labs Crypto Watch
C Labs Crypto Watch
02-20 14:49
Follow
Focus
未来的链上Defi可能就真的是为AI准备的,无论是代码审计,还是黑客,可能都得失业了。
Helpful
Unhelpful
Play

Author:C Labs加密观察

一直说Crypto抱腿AI是热脸贴冷屁股,但是在最近加密市场遇冷的时候,OpenAI 推出了 EVMbench,让不少加密圈的小伙伴开始激动了~
   

01

EVMbench 是什么?

首先你并没有看错,这里的EVM确实指的就是Ethereum Virtual Machine(以太坊虚拟机),也就是以太坊和大多数兼容链运行智能合约的底层环境。
但是这次OpenAI推出的EVMbench 不是一条链,也不是以太坊升级,而是一个 AI 测试工具。
这次的EVMbench和加密圈的关系也很深,因为这套工具的开发者,除了OpenAI之外,还有知名加密基金Paradigm和Web3 安全审计公司OtterSec。
目前这个EVMbench是以论文(见结尾“阅读原文”)的形式发表的,我今天也来个硬核的,给大家解读一下~
熟悉链上的朋友们都知道,智能合约简直就是个“黑暗森林”,不断有黑客扫描各种攻击机会,一旦漏洞被发现,就会造成难以挽回的重大损失。
因此不少项目方都选择花钱做代码安全审计。
但是OpenAI认为,链上环节特别适合作为AI的评测环境,因为所有数据和信息都在链上可查可验证~
 
然后他们就在真实的Defi环境中,找到了几百个真实项目。这些项目平均有一两千行代码,含有多个合约。
所以这个EVMBench(Bench有审判席的意思),就是让主流的 AI模型(GPT/Gemini/Claude)在这些项目上干这三件事:
  • 发现漏洞(Detect)
  • 修复漏洞(Patch)
  • 攻击合约偷钱(Exploit)
然后评分看哪个干得好~

02

审计不行,偷钱行!
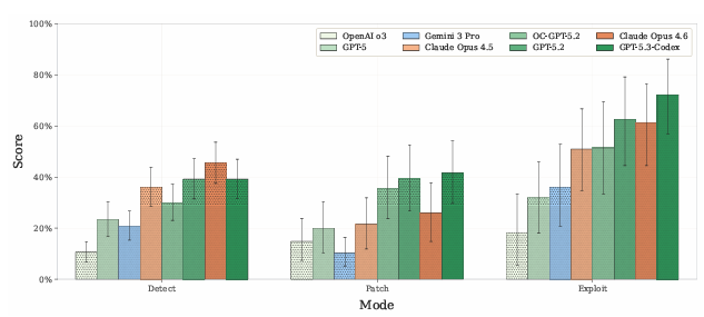
最后开发团队发现AI在发现或者修复漏洞方面表现一般,但是利用漏洞攻击合约的能力倒是很强!
 
在已知合约有关问题的情况,只有不到一半的漏洞能被发现或者修复,这只算是一般水平的“代码审计师”。
但是作为黑客偷钱成功的概率,高达70%以上!
而且AI 无论是当“链上黑客”还是当“审计员”,只要算力给够(AI 输出 token 数量),表现都能有明显提升。

03

各 AI 模型结果
讲到这里,大家肯定很关心各个模型到底谁比较厉害~
其实从前面的图表也可以看出,检测漏洞最厉害的是Claude Opus 4.6,它找到的漏洞按真实审计奖励能赚3.8万美金!
 
但是修复漏洞和偷钱能力最强的,还是OpenAI的GPT 5.3-Codex (毕竟是自己人写的论文,不能输呀)。
如果AI有个工程师给点提示的话,AI几乎在审计和偷钱方面的成功率,都可以达到90%以上!

04

总结

用大白话总结一下,未来的链上Defi可能就真的是为AI准备的,无论是代码审计,还是黑客,可能都得失业了...
Open App for Full Article
DisclaimerThis website, hyperlinks, related apps, forums, blogs, media accounts, and other platforms' content are all sourced from third-party platforms and users. CoinWorldNet makes no guarantees about the website or its content. All blockchain data and other materials are for educational and research purposes only and do not constitute investment, legal, or other advice. Users of the CoinWorldNet and third-party platforms are solely responsible for the content they post, which is unrelated to CoinWorldNet. CoinWorldNet is not liable for any loss arising from the use of this website's information. You should use the data and content cautiously and bear all associated risks. It is strongly recommended that you independently research, review, analyze, and verify the content.
Comments(2)
Popular
Latest
0632
999
02-20 18:37
Reply
0
爱拼才会赢
888
02-20 21:05
Reply
0
edit
comment2
collection4
like3
share